
鞏義市仁源水處理材料廠
聯系人:孫經理
手機:15838253283(微信同號)
電話:0371-66557686
郵箱:1813885391@qq.com
地址:河南省鞏義市工業園區
正產生產聚合氯化鋁PAC廠家2020年城鄉建設統計年鑒公布:城市、縣城、鄉鎮、建制村各有多少污水廠?
正產生產聚合氯化鋁PAC生產廠家2020年城鄉建設統計年鑒公布:城市、縣城、鄉鎮、建制村各有多少污水廠?近日,住建部公布了《2020年城鄉建設統計年鑒》,北極星水處理網特將污水處理領域相關數據整理如下:
一
城市部分
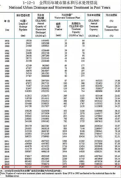
截至2020年,全國城市污水處理廠2618座,處理能力為19267萬立方米/日,污水年排放量5713633萬立方米,污水年處理量為5572782萬立方米,污水日處理量為19267萬立方米/日。城市污水處理率為97.53%,城市污水處理廠集中處理處理率為95.78%。
2020年,我國城市建成區排水管道密度為11.11公里/平方公里,排水管道長度為802721公里。
2020年,全國干污泥產生量為11627678.15噸,干污泥處置量為11160221.68噸。
2020年,全國城市市政再生水生產能力為6095.16萬立方米/日,市政再生水利用量為1353832.24萬立方米,管道長度為14630.02公里。

據統計,全國城市污水處理廠最多的三個地區分別為廣東(320座)、山東(218座)、江蘇(206座)。四川(149座)、遼寧(131座)、河南(110座)、浙江(106座)、貴州(101座)、湖北(101座)的城市污水處理廠數量也分別超100座。

據統計,全國城市污水處理率最高的地區為山西和新疆生產建設兵團,污水處理率超99%。廣西、海南、河北、河南、山東緊隨其后。


2020年,全國城市排水設施建設固定資產投資為2114.78億元,污水處理設施建設固定資產投資1013.07億元,污泥處理設施雞舍固定資產投資36.86億元,再生水利用設施固定資產投資30.33億元。
二
縣城部分
截至2020年,全國縣城污水處理廠1708座,污水處理率為95.05%,其中,重慶、寧夏、河北、山東的縣城污水處理率最高,四川、河南、河北等地縣城的污水處理廠數量最多;2020年,全國縣城污水處理廠集中處理率為94.42%,排水管道長度22.39萬公里,建成區排水管道密度為9.6公里/平方公里。
2020年,全國縣城污水處理年排放量103.76億立方米,污水處理能力3770萬立方米/日,年污水處理總量98.62億立方米。
2020年,全國縣城干污泥產生量1699187噸,干污泥處置量1619994噸。




2020年,全國縣城排水設施建設設施固定資產投資560.91億元,污水處理及再生利用建設設施固定資產投資306.2億元,污泥處置設施建設固定資產投資11.64億元。
三
村鎮部分
建制鎮
截至2020年,對生活污水進行處理的建制鎮為12300個,污水處理比例為65.35%,其中四川、山東建制鎮污水處理廠分別超千個。
截至2020年,全國建制鎮污水處理廠11374個,污水處理能力為2740萬立方米/日,污水處理裝置處理能力為2157萬立方米/日。
截至2020年,全國建制鎮排水管道長度19.8萬公里,2020年新增1.86萬公里,排水暗渠長度11.39萬公里,本年新增0.87萬公里。

2020年,全國建制鎮污水處理率為60.98%,污水處理廠集中處理率為52.14%。

鄉
截至2020年,對生活污水進行處理的鄉為3095個,比例為34.87%;全國鄉污水處理廠個數為2170座,污水處理能力為104.80萬立方米/日,污水處理裝置處理能力為98.80萬立方米/日,排水管道長度為23537公里,2020年新增2435.74公里,排水暗渠長度20070.38公里,2020年新增1577.15公里。

2020年,全國鄉污水處理率為21.67%,污水處理廠集中處理率為13.43%。

縣鄉級特殊區域
截至2020年,對生活污水進行處理的鎮鄉級特殊區域為234個,比例為52.35%;鎮鄉級特殊區域污水處理廠170個,處理能力為32.58萬立方米/天;污水處理裝置處理能力為43.08萬立方米/日;排水管道長度3571.20公里,2020年新增148.53公里。

正產生產聚合氯化鋁PAC生產廠家詳情點擊:http://www.yattongwu.com/